














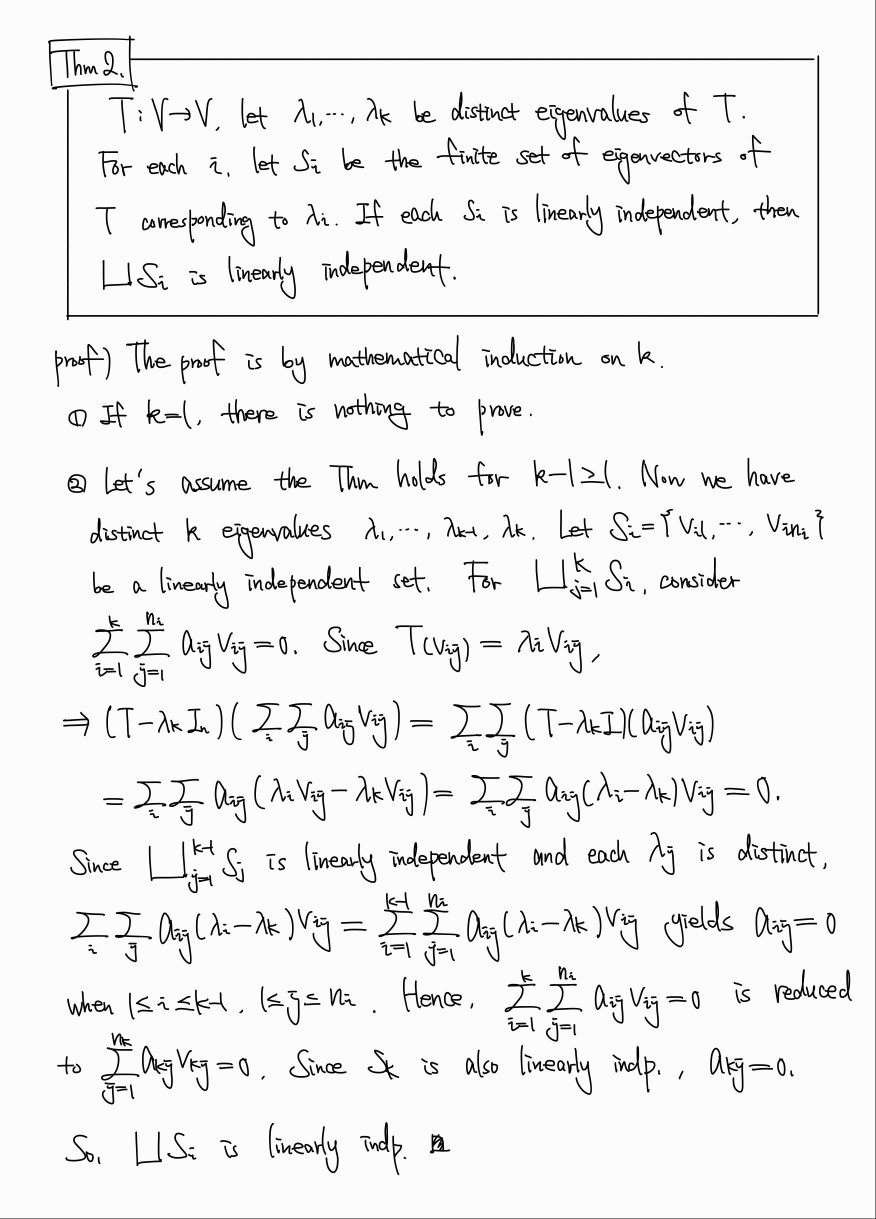
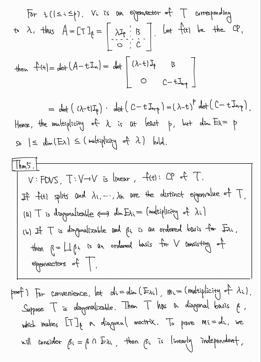
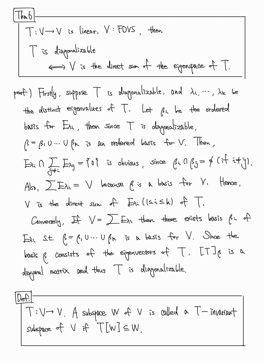
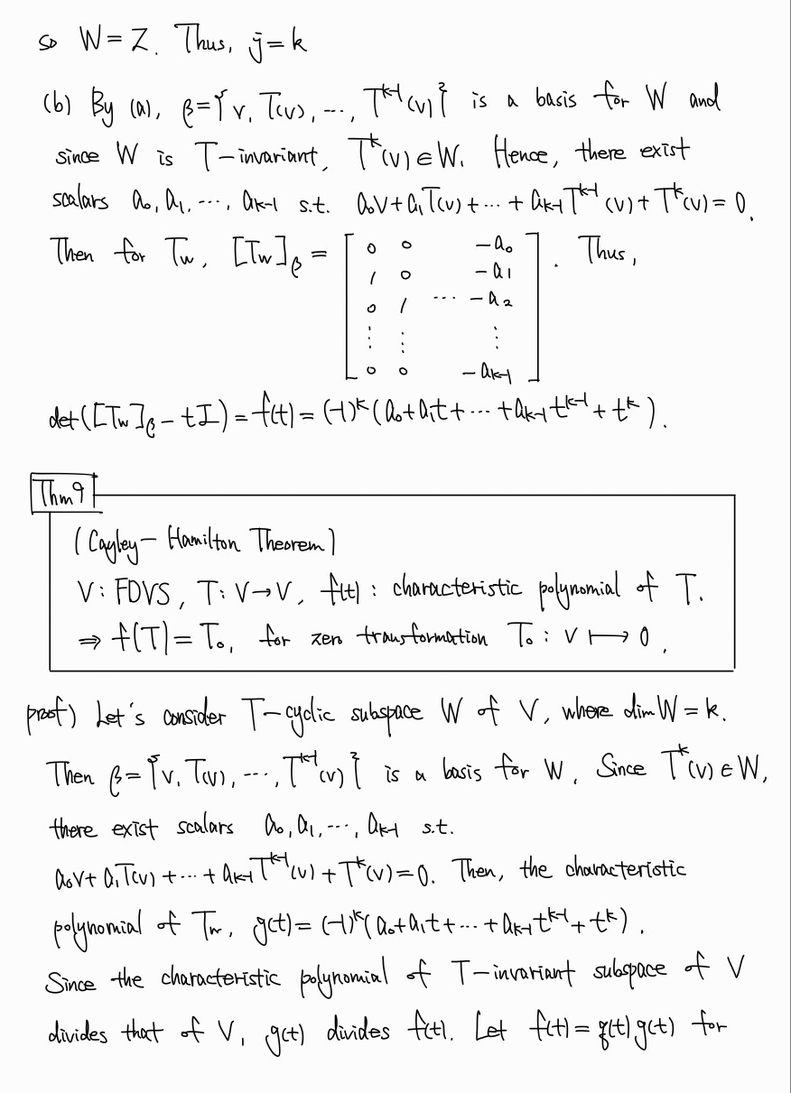
대각화에 대해 복습했습니다.
역시 증명을 하지 않고 넘어갔던 정리들을 증명하니 훨씬 잘 다가옵니다.
반응형
'학부 수학 > 선형대수학' 카테고리의 다른 글
| [선형대수학] Chpt4. Determinant (1) | 2023.09.09 |
|---|---|
| [선형대수학] Friedburg 1.1절~2.1절 정리 및 일부 연습문제 풀이 (4) | 2023.04.12 |
| [선형대수학] 3. 기저$(Basis)$ (0) | 2023.04.07 |
| [선형대수학1] 3주차 필기 (0) | 2023.03.25 |
| [선형대수학1] 2주차 필기 (0) | 2023.03.16 |