전역을 한 달도 채 남기지 않은 저번 7월 초부터 Stein, [Fourier Analysis] - Book 1을 공부하기 시작해 6주가 조금 안되는 시간만에 Book 1 공부를 마무리짓는다. 기본적으로 내용이 많지 않기도 한데다 Stein Book 2 - Complex Analysis를 공부하고 나서 Book 1을 보니 훨씬 더 쉬운 느낌이었다.
[Fourier Analysis]의 전체 챕터는 다음과 같다.
Chapter 1. The Genesis of Fourier Analysis
Chapter 2. Basic Properties of Fourier Series
Cahpter 3. Convergence of Fourier Series
Chapter 4. Some Applications of Fourier Series
Chapter 5. The Fourier Transform on $\mathbb{R}$
Chapter 6. The Fourier Transform on $\mathbb{R}^d$
Chapter 7. Finite Fourier Analysis
Chapter 8. Dirichlet's Theorem
이 중 푸리에 해석의 motivation을 다룬 Chapter 1은 가볍게 읽고 지나가기만 했고, Chapter 2 ~ Chapter 6을 공부한 뒤 Chapter 7, 8은 건너뛰었다. 기본적으로 우리 학교 강의 '푸리에 해석과 응용'의 강의계획서를 참고해서 공부했는데, Chapter 7, 8은 다루고 있지 않기도 하고 얼른 푸리에 해석 공부를 마무리짓고 다른 과목 공부를 시작하고 싶어 그냥 생략했다.
푸리에 해석을 공부하며 해개연1에서 배운 내용들이 스스로 많이 정리가 되고 있음을 느꼈다. 해개연을 처음 수강했을 때는 정말 이해 안되는 것 투성이인데다 배우는 내용들이 도대체 무엇에 필요한 건지, 특정 상황에서 내가 어떤 것을 조심해서 논리를 전개해야 하는지 전혀 공감하지 못했었다. 나중에 Munkres, Topology를 공부하면서는 해개연에서 배운 공간의 위상적 성질들 그리고 논리 전개에 있어서 '조심해야 할' 조건들이 무엇인지 이해할 수 있었고 Stein, Complex Analysis & Fourier Analysis를 공부하면서는 함수열 단원에서 그렇게 지지고 볶고 했던 것들이 무엇을 위한 것이었는지 조금은 공감하게 되었다.
특히 Stein의 두 개의 해석학 교재에서 수시로 등장하는 Lesbegue's DCT나 $L^p$ space theory, integrability 등등을 접하다보니 이 도구들을 조금 더 엄밀하게 다루고싶어 실해석학과 측도 이론을 공부해야겠다는 생각이 많이 들었다. 이 교재에서 푸리에 해석의 활용을 보여주기 위해 다뤘던 Heat equation이라든지 몇몇 PDE를 풀다보니 이쪽도 재밌어보여서 PDE theory를 공부할까 하는 생각도 들었는데, 아무래도 기초가 먼저인 것 같다.
원래는 푸리에 해석을 공부한 뒤 Munkres와 Hatcher의 교재를 사용해 대수적 위상수학을 공부할 생각이었는데 고민이 조금 된다. 일단 이번 학기는 휴학하니 최대한 공부를 많이 해야할 것 같다. 그런데 코딩 공부도 이제 시작을 해야하는데...
일단 전역 기념 겸 심신의 안정을 위해 8.29. ~ 10. 5. 중앙아시아 여행을 다녀온 뒤 공부를 시작해야겠다. 여행이 정말 기대된다.
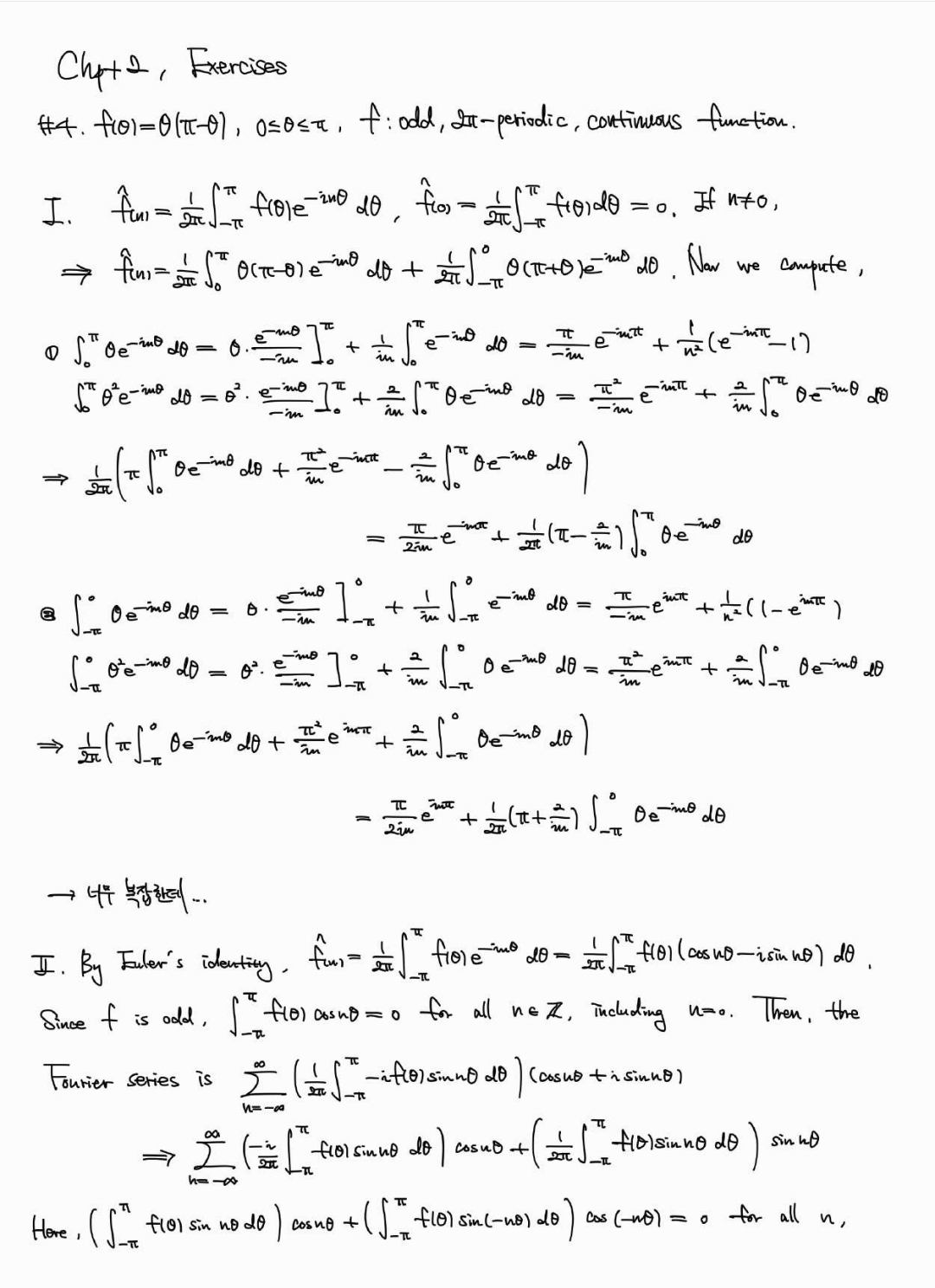
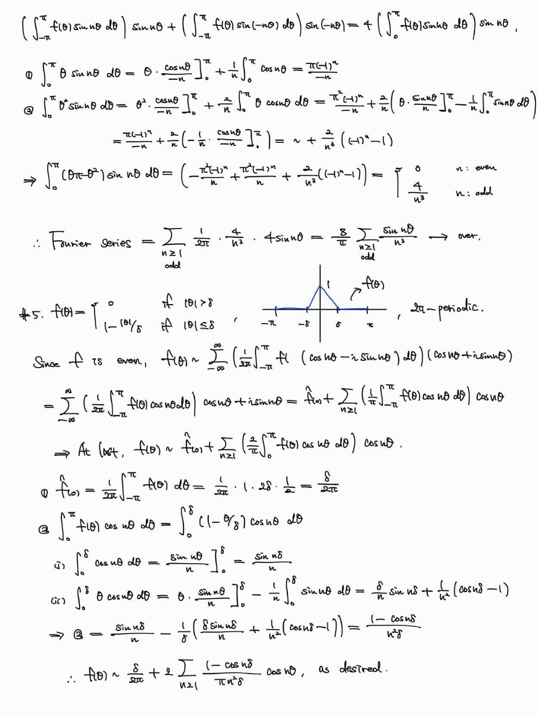
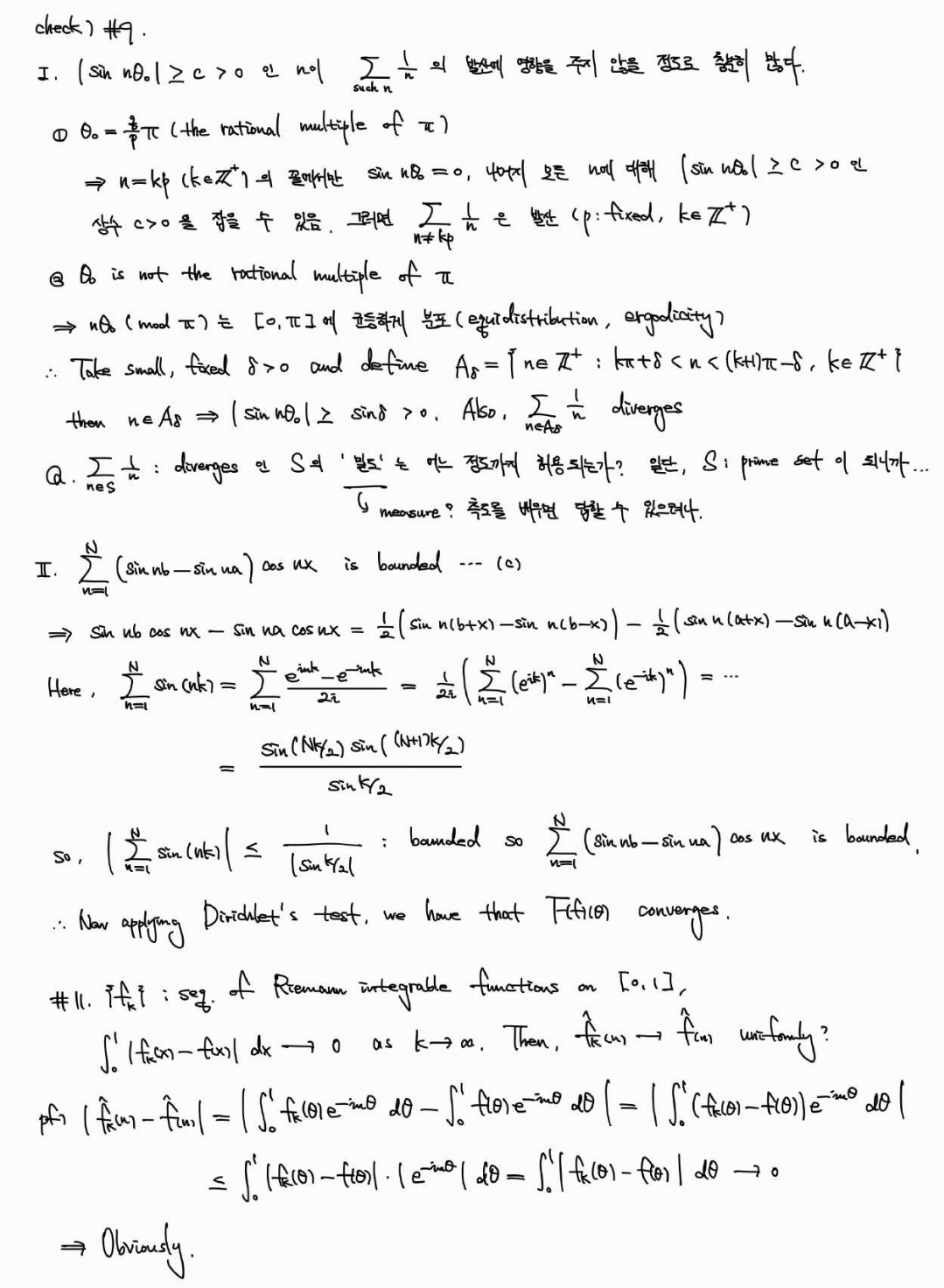
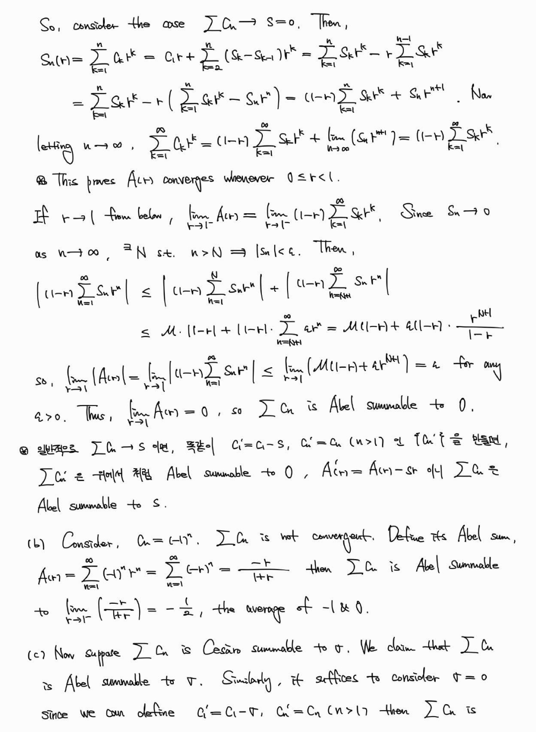
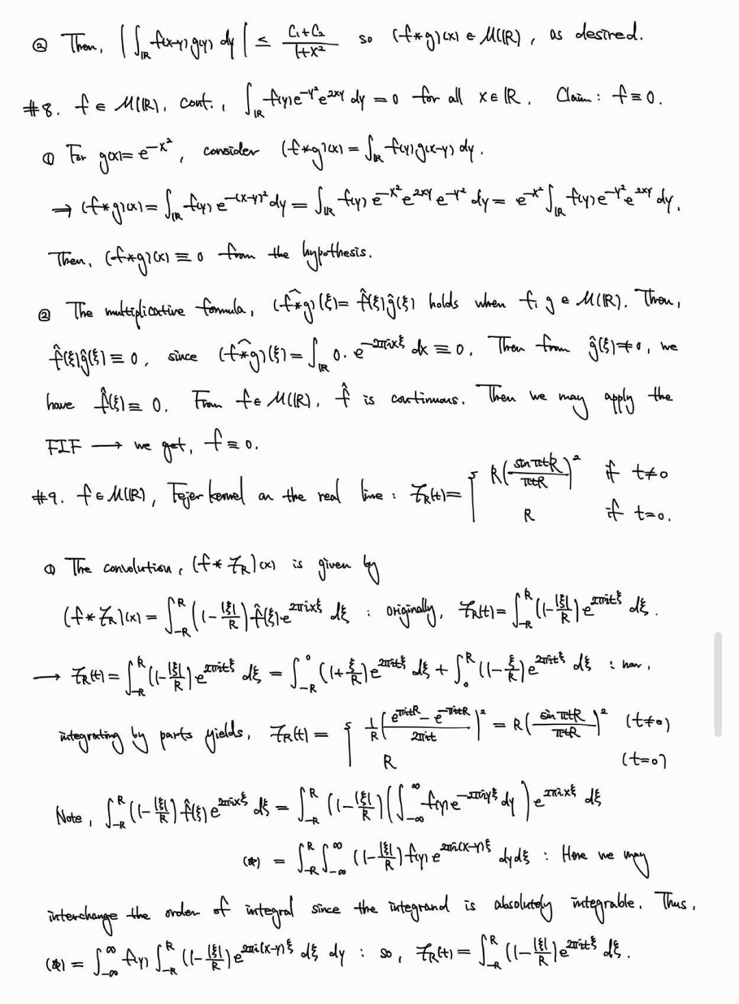
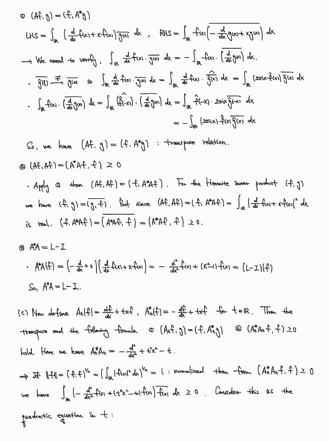
아래는 Stein, [Fourier Analysis]의 Chapter 2, 5 연습문제 일부. Chapter 3, 4 연습문제는 군대에 있을때 공부해서 노트에 적었는데 여기에 올리기는 조금 난해하고, Chapter 6은 본문과 연결된 연습문제가 많아 본문을 공부하며 노트에 체크만 해서 풀이집을 따로 만들지 않았다. 교재에 힌트가 있어 푸는게 그렇게 어렵지는 않지만... 도움이 되는 사람이 있으면 좋겠다.



























'학부 수학 > 해석학' 카테고리의 다른 글
| [Fourier Analysis] The Heisenberg uncertainty principle / 하이젠베르크 불확정성 원리 (3) | 2025.08.07 |
|---|---|
| [Fourier Analysis] The Poisson summation formula / 푸아송 합 공식 (3) | 2025.08.07 |
| [Fourier Analysis] The Weierstrass approximation theorem / 바이어슈트라스 근사정리 (0) | 2025.08.07 |
| [Fourier Analysis] The Plancherel formula / 플랑쉐렐 공식 (1) | 2025.08.07 |
| [Fourier Analysis] Fourier inversion formula / 푸리에 역변환 공식 (2) | 2025.08.06 |