현대대수학1, 23-1학기, 서의린 교수님
현대대수5주.pdf
8.50MB





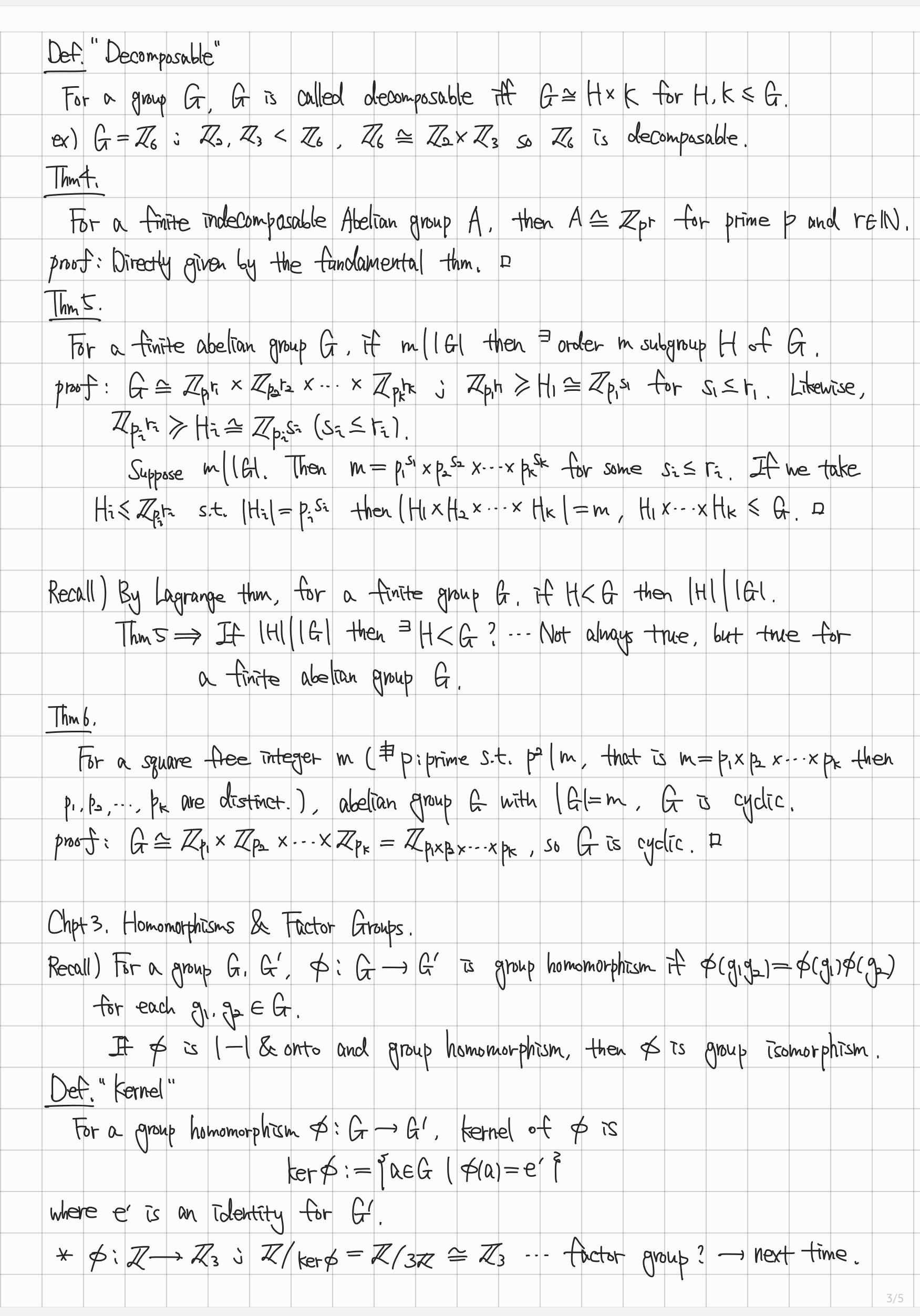
슬슬 어려워지기 시작한다. 분명 강의 들을 때는 다 이해됐는데, 문제 풀어보니 그건 내가 이해한 것이 아니라 교수님이 머리 속에 때려박은 거였다는 것을 알게 된다.
반응형
'학부 수학 > 현대대수학' 카테고리의 다른 글
| [현대대수학1] 7주차 필기 (9) | 2023.04.28 |
|---|---|
| [현대대수학1] 6주차 필기 (0) | 2023.04.19 |
| [현대대수학] Fraleigh 5절~10절 일부 연습문제 풀이, 그리고 주절주절 (0) | 2023.04.04 |
| [현대대수학1] 4주차 필기 (1) | 2023.04.04 |
| [현대대수학] 5. 순환부분군과 순환군 (2) | 2023.03.28 |