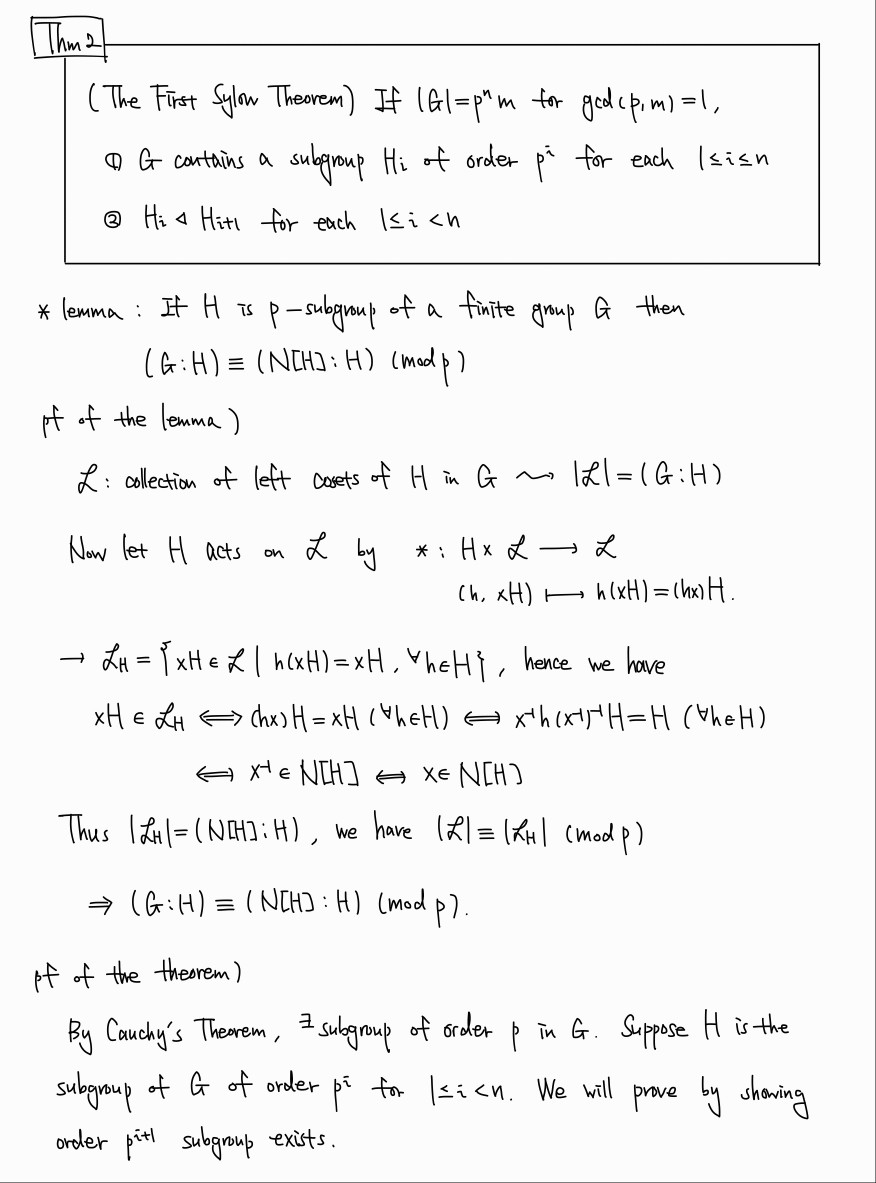
현대대수학에서 가장 중요한 정리 중 하나일 Sylow Theorems의 증명입니다.
Group Action의 응용으로 isotropy subgroup과 orbit에 대한 정리를 활용하는 것이 핵심입니다. 증명을 하기 위해서 어떤 군 G와 G-set을 잡을지, 그리고 action을 어떻게 줄 지 고민하는 것이 필요합니다.
Preview에서는 Sylow Theorems의 의의에 대해 적어두었습니다. 활용에 대해서는 따로 글을 올리려고 합니다.






Sylow Theory.pdf
4.84MB
반응형
'학부 수학 > 현대대수학' 카테고리의 다른 글
| [현대대수학] Field Extension 연습문제 풀이(Fraleigh) (0) | 2023.10.17 |
|---|---|
| [현대대수학] Field Extension (1) (2) | 2023.10.11 |
| [현대대수학1] 9주차 필기 (7) | 2023.05.18 |
| [현대대수학1] 8주차 필기 (1) | 2023.05.10 |
| [현대대수학1] 7주차 필기 (9) | 2023.04.28 |