현대대수 8주.pdf
8.50MB
현대대수학1, 23-1학기, 서의린 교수님






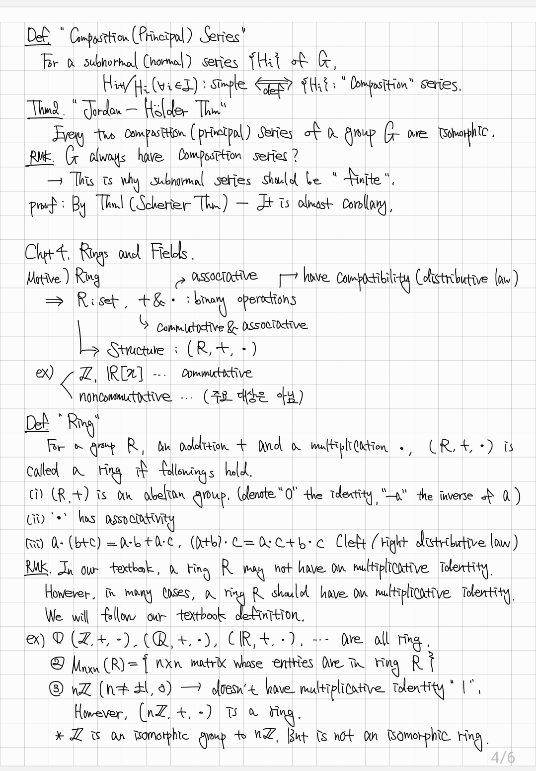
오늘 현대, 선대 2차 중간고사를 봤다. 현대는 꽤나 어려웠는데...이 필기 부분인 composition series에서 composition factor의 정의를 알려준 적이 없는 것 같은데 시험에 나와서, list of composition factor를 써야 했는데 composition seriez를 써두었다. 그 부분에서 감점이 있을 것 같아 아쉽다.
선대는 잘 봤다.
반응형
'학부 수학 > 현대대수학' 카테고리의 다른 글
| [현대대수학] Sylow Theory (1) | 2023.10.11 |
|---|---|
| [현대대수학1] 9주차 필기 (7) | 2023.05.18 |
| [현대대수학1] 7주차 필기 (9) | 2023.04.28 |
| [현대대수학1] 6주차 필기 (0) | 2023.04.19 |
| [현대대수학1] 5주차 필기 (0) | 2023.04.19 |