Section31의 핵심은 simple extension의 simple extension, 다시 그것의 simple extension...은 무엇이 될 지를 생각하는 것이다.

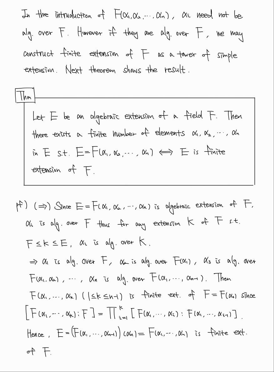
다음 정리는 F의 임의의 finite extension E는 F의 유한번의 simple extension임을 보여준다. F의 유한번의 simple extension이 finite extension임을 보이는 것은 어렵지 않지만 반대방향은 조금 어려운데, 귀납적으로 정의되며 E가 finite extension이라는 것에서 유한번의 simple extension이면 충분할 것임을 예상할 수 있다.


이제 F의 한 extension E 안의 alg.over F인 모든 수들의 집합을 algebraic closure of F in E로 정의하고 algebraic closed field를 정의한다. 그 한 예시로서 복소수의 집합 C는 algebraic closed field임을 알 수 있다(대수학의 기본 정리). 이후 algebraic closed field이면서 F의 extension인 것을 algebraic closure of F로 정의하고, 임의의 체는 algebraic closure을 가짐을 보인다. 여기서 Zorn의 보조정리가 필요한데, 자세한 증명은 노트에서 했다.

지금까지 공부한 extension field의 중요한 예시로서 작도가능성에 대해 공부한다.

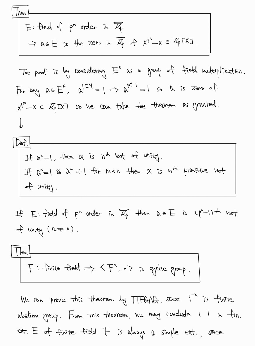
이후 finite field에 대해 공부한다. 모든 finite field는 prime characteristic을 가짐은 이미 알고 있는 사항이다. 이를 통해 임의의 finite field는 prime power order를 가짐을 보였다. 이후 finite field의 structure를 완전히 밝힌다.

특히 finite field F에서 0을 제외한 것이 곱셈에 대한 cyclic group을 이룬다는 사실은 중요하다. 이 때문에 finite field 의 extension E는 그 한 생성원 a에 대한 simple extension E=F(a)가 될 수밖에 없음을 이해할 수 있다.

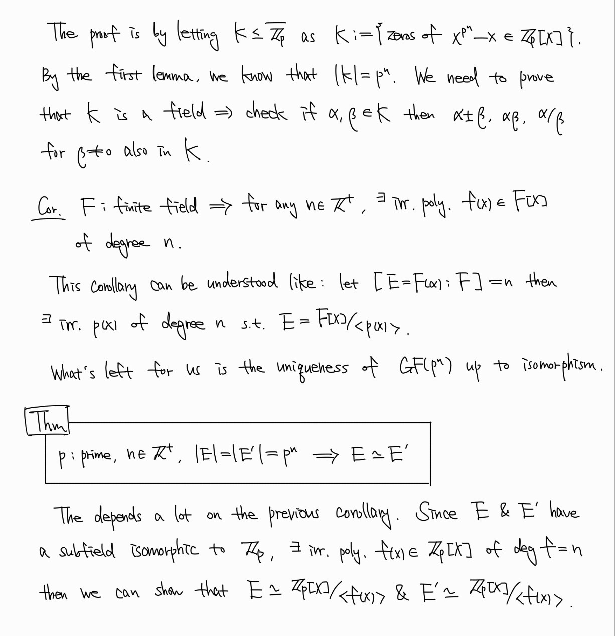
이제 임의의 p^n에 대해 정확히 p^n개의 원소를 갖는 finite field가 존재함을 밝힌다.

그리고 그러한 finite field는 isomorphism에 대해 유일함을 밝힌다.

'학부 수학 > 현대대수학' 카테고리의 다른 글
| Galois Theory (1). Conjugate Isomorphism Theorem (0) | 2024.01.02 |
|---|---|
| Galois Theory: Preview; The Main Theorem (0) | 2024.01.02 |
| [현대대수학] Field Extension 연습문제 풀이(Fraleigh) (0) | 2023.10.17 |
| [현대대수학] Field Extension (1) (2) | 2023.10.11 |
| [현대대수학] Sylow Theory (1) | 2023.10.11 |